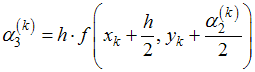
Математика – страница 95
Для вычисления значений функции
была использована формула Тейлора 5-го порядка. Известно, что
, а абсолютная погрешность не должна превышать заданной точности
.
Тогда указанные условия будут выполнены, если значения аргумента
удовлетворяют неравенству …
была использована формула Тейлора 5-го порядка. Известно, что
, а абсолютная погрешность не должна превышать заданной точности
. Тогда указанные условия будут выполнены, если значения аргумента
удовлетворяют неравенству …Значение интеграла
, вычисленное с помощью рядов с точностью до 0,01, равно …
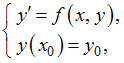
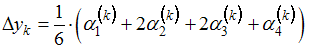
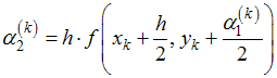
, вычисленное с помощью рядов с точностью до 0,01, равно …Алгоритм Рунге – Кутта решения задачи Коши 
реализуется с помощью следующих формул:
;
;
;
;
;
;
,
, где
- начальный шаг вычислений.
Если, округляя при необходимости до 4-х знаков после запятой, с шагом
применить алгоритм Рунге – Кутта к задаче Коши

то значение
будет равно …

реализуется с помощью следующих формул:
;
;
;
;
;
;
,
, где
- начальный шаг вычислений.Если, округляя при необходимости до 4-х знаков после запятой, с шагом
применить алгоритм Рунге – Кутта к задаче Коши
то значение
будет равно …Функция
представлена таблицей

Аппроксимирующей линейной функцией, найденной методом наименьших квадратов, для заданной функции служит …
представлена таблицей
Аппроксимирующей линейной функцией, найденной методом наименьших квадратов, для заданной функции служит …
Общее решение дифференциального уравнения
имеет вид…
имеет вид…Для исследования сходимости или расходимости признак Даламбера не применим к ряду …
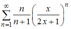
Областью абсолютной сходимости ряда
является множество …
является множество …Для взвешенного неориентированного графа
(граф показан на рисунке, а рядом с каждым ребром указан вес этого ребра) вес его минимального

остовного дерева равен …
(граф показан на рисунке, а рядом с каждым ребром указан вес этого ребра) вес его минимального
остовного дерева равен …
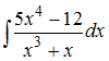
Неопределенный интеграл
равен …
равен …Даны последовательности действительных чисел:
1)
,
2)
,
которые исследуются с помощью критерия Коши.
Тогда истинным является утверждение, что …
1)
,2)
,которые исследуются с помощью критерия Коши.
Тогда истинным является утверждение, что …
Признак Коши не применим для установления сходимости или расходимости ряда …
О функции
известна информация, представленная в таблице
.
Функция
интерполируется кубическим сплайном
, где
– полином 3-й степени, причём в узлах интерполяции
,
, должны выполняться условия
,
.
Тогда значения
и
соответственно равны …
известна информация, представленная в таблице
.Функция
интерполируется кубическим сплайном
, где
– полином 3-й степени, причём в узлах интерполяции
,
, должны выполняться условия
,
.Тогда значения
и
соответственно равны …
является …
в окрестности точки с координатами
имеет вид …
в точке
с остаточным членом в форме Лагранжа имеет вид …