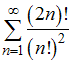
Для исследования сходимости или расходимости признак Даламбера не применим к ряду …
• 
• 
• 
• 
Тема: Признаки Даламбера и Коши для рядов с положительными членами
Предмет: Математика