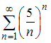
Признак Коши не применим для установления сходимости или расходимости ряда …
• 
• 
• 
• 
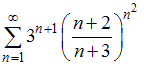
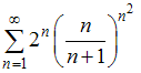
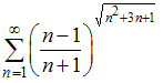
Тема: Признаки Даламбера и Коши для рядов с положительными членами
Предмет: Математика