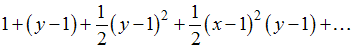
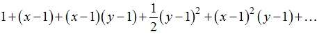
Начальная часть ряда Тейлора функции Изображение вопроса Начальная часть ряда Тейлора функции  в окрестност... в окрестности точки с координатами Изображение вопроса Начальная часть ряда Тейлора функции  в окрестност... имеет вид …
• 
• 
• 
• 
Тема: Ряды Тейлора и Маклорена для функций нескольких переменных
Предмет: Математика