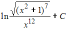
Неопределенный интеграл Изображение вопроса Неопределенный интеграл  равен …... равен …
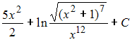
• 
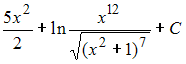
• 
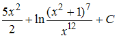
• 
• 
Тема: Неопределённый интеграл: специальные приемы и подстановки
Предмет: Математика