Математика – страница 94
1 Ряд
сходится условно …
сходится условно …Дана задача Коши для системы дифференциальных уравнений:

,
.
С шагом
выполните первые этапы метода Эйлера. Расчёты выполняйте без округлений.
Тогда значения
и
соответственно равны …

,
.С шагом
выполните первые этапы метода Эйлера. Расчёты выполняйте без округлений.Тогда значения
и
соответственно равны …Функция
представлена таблицей


Значение интеграла
вычисляется методом Симпсона, а точность (погрешность) оценивается по методу Рунге – Ромберга. Погрешностями округлений пренебрегают.
Тогда значения интеграла и погрешности соответственно равны …
представлена таблицей

Значение интеграла
вычисляется методом Симпсона, а точность (погрешность) оценивается по методу Рунге – Ромберга. Погрешностями округлений пренебрегают.Тогда значения интеграла и погрешности соответственно равны …
Функция
представлена таблицей

Эта функция аппроксимируется квадратичной зависимостью
методом наименьших квадратов.
Тогда коэффициенты аппроксимирующей функции определяются системой уравнений …
представлена таблицей
Эта функция аппроксимируется квадратичной зависимостью
методом наименьших квадратов.Тогда коэффициенты аппроксимирующей функции определяются системой уравнений …
Для оценки погрешности интерполяции сплайнами в некоторых случаях используется модуль непрерывности функции.
Тогда при
значение модуля непрерывности функции
, рассматриваемой на отрезке
, равно …
Тогда при
значение модуля непрерывности функции
, рассматриваемой на отрезке
, равно …На множестве
определён предикат
своей таблицей истинности (
– "ложь";
– "истина").

Тогда таблицей истинности предиката
является …
определён предикат
своей таблицей истинности (
– "ложь";
– "истина").
Тогда таблицей истинности предиката
является …Конечный автомат
представлен диаграммой переходов

На рисунке указаны все состояния автомата, входные сигналы
,
, и все выходные сигналы
,
. Отмечено и начальное состояние автомата.
Тогда функция выходов этого автомата имеет вид …
представлен диаграммой переходов
На рисунке указаны все состояния автомата, входные сигналы
,
, и все выходные сигналы
,
. Отмечено и начальное состояние автомата.Тогда функция выходов этого автомата имеет вид …
Установите в приведённой цепочке соотношений правильное соответствие пропущенных выражений, которые помечены символами
,
,
,
, заданным выражениям, и получите доказательство тождества
с помощью характеристических функций множеств (
– характеристическая функция множества
).




,
,
,
, заданным выражениям, и получите доказательство тождества
с помощью характеристических функций множеств (
– характеристическая функция множества
).



Для взвешенного графа
, приведённого на рисунке (рядом с каждой дугой указан её вес), постройте начальную матрицу
и реализуйте первый этап алгоритма Флойда поиска кратчайших путей в графе.

Результатом реализации первого этапа алгоритма является матрица …
, приведённого на рисунке (рядом с каждой дугой указан её вес), постройте начальную матрицу
и реализуйте первый этап алгоритма Флойда поиска кратчайших путей в графе.
Результатом реализации первого этапа алгоритма является матрица …
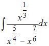
Неопределённый интеграл
равен …
равен …
представлена рядом Маклорена.
имеет вид…
, то разложение
в ряд по степеням z имеет вид …
равно…