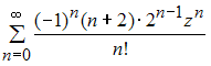
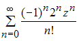
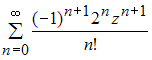
Если Изображение вопроса Если , то разложение  в ряд по степеням z имеет ви..., то разложение Изображение вопроса Если , то разложение  в ряд по степеням z имеет ви... в ряд по степеням z имеет вид …
• 
• 
• 
• 
Тема: Степенные ряды
Предмет: Математика