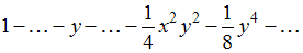
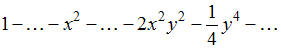
Функция Изображение вопроса Функция  представлена рядом Маклорена. 
 Тогда фра... представлена рядом Маклорена.
Тогда фрагментом этого ряда является выражение …
• 
• 
• 
• 
Тема: Ряды Тейлора и Маклорена для функций нескольких переменных
Предмет: Математика