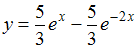
Решение задачи Коши  Изображение вопроса Решение задачи Коши   
 имеет вид…...
имеет вид…
• 
• 
• 
• 
Тема: Линейные неоднородные дифференциальные уравнения 2-го порядка с постоянными коэффициентами
Предмет: Математика