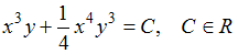
Общий интеграл дифференциального уравнения
Изображение вопроса Общий интеграл дифференциального уравнения 
   име...  имеет вид…
• 
• 
• ,  
• 
Тема: Уравнения в полных дифференциалах и интегрирующий множитель
Предмет: Математика