Математика – страница 79
Неопределённый интеграл
равен …
равен …Объемы промежуточной продукции в линейной статической модели Леонтьева представлены матрицей
, а объемы валовых выпусков – вектором
. Тогда матрица коэффициентов прямых затрат имеет вид …
, а объемы валовых выпусков – вектором
. Тогда матрица коэффициентов прямых затрат имеет вид …Даны функции спроса
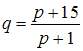
и предложения
, где p – цена товара. Если равновесный объем спроса-предложения равен 8, то значение параметра
равно …
и предложения
, где p – цена товара. Если равновесный объем спроса-предложения равен 8, то значение параметра
равно …Даны числовые ряды:
1)
;
2)
.
Используя критерий Коши, исследуйте заданные ряды на сходимость.
Тогда истинным будет утверждение, что …
1)
;2)
.Используя критерий Коши, исследуйте заданные ряды на сходимость.
Тогда истинным будет утверждение, что …
Если радиус сходимости степенного ряда
равен R, то интервал сходимости этого ряда имеет вид …
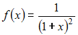
равен R, то интервал сходимости этого ряда имеет вид …Если разложение в ряд Маклорена функции
имеет вид
, то коэффициент
разложения функции
в ряд Маклорена равен …
имеет вид
, то коэффициент
разложения функции
в ряд Маклорена равен …Кривая безразличия задана уравнением
, а оптимальный набор благ потребителя
,
. Тогда предельная норма замены блага y благом x равна …
, а оптимальный набор благ потребителя
,
. Тогда предельная норма замены блага y благом x равна …
,
имеет вид …
линейного неоднородного дифференциального уравнения
имеет вид…
. Тогда предельный продукт труда при
,
равен …
разложена в ряд Маклорена.
в этом разложении равен …
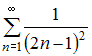
,
,
,
расходящимся является ряд …
наименьшее значение предела при
имеет последовательность …
равно …
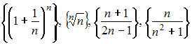
,
,
,
наибольшее значение предела при
имеет последовательность …