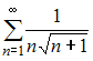
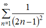
Из рядов Изображение вопроса Из рядов , , ,  расходящимся является ряд …..., Изображение вопроса Из рядов , , ,  расходящимся является ряд …..., Изображение вопроса Из рядов , , ,  расходящимся является ряд …..., Изображение вопроса Из рядов , , ,  расходящимся является ряд …... расходящимся является ряд …
• 
• 
• 
• 
Тема: Сходимость положительных рядов
Предмет: Математика