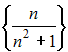
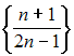
Из последовательностей Изображение вопроса Из последовательностей  наименьшее значение предел... наименьшее значение предела при Изображение вопроса Из последовательностей  наименьшее значение предел... имеет последовательность …
• 
• 
• 
• 
Тема: Числовые последовательности
Предмет: Математика