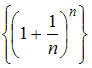
Из числовых последовательностей
,
,
,
наибольшее значение предела при
имеет последовательность …
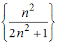
,
,
,
наибольшее значение предела при
имеет последовательность …• 

• 

• 

• 

,
,
,
наибольшее значение предела при
имеет последовательность …


