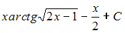
Неопределённый интеграл Изображение вопроса Неопределённый интеграл  равен …... равен …
• 
• 
• 
• 
Тема: Основные приемы нахождения неопределённого интеграла
Предмет: Математика