Математика – страница 43
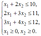
Дана задача линейного программирования:
, при ограничениях:

Тогда симметричная ей двойственная задача линейного программирования будет иметь вид …
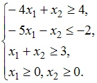
, при ограничениях:
Тогда симметричная ей двойственная задача линейного программирования будет иметь вид …
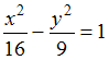
Уравнением кривой второго порядка
на плоскости определяется …
на плоскости определяется …Точка
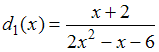
является точкой разрыва функции …
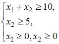
является точкой разрыва функции …Дана задача линейного программирования:
, при ограничениях:

Тогда канонический вид данной задачи будет иметь вид …
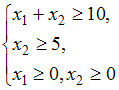
, при ограничениях:
Тогда канонический вид данной задачи будет иметь вид …
Симплексная таблица для нахождения максимального значения функции в задаче линейного программирования имеет вид:

Тогда на следующем шаге необходимо перевести в базис переменную…

Тогда на следующем шаге необходимо перевести в базис переменную…
Симплексная таблица для нахождения минимального значения функции в задаче линейного программирования имеет вид:

Тогда на следующем шаге необходимо перевести в базис переменную …

Тогда на следующем шаге необходимо перевести в базис переменную …
Фокусы эллипса имеют координаты
и
, а его эксцентриситет равен 0,6. Тогда каноническое уравнение эллипса имеет вид …
и
, а его эксцентриситет равен 0,6. Тогда каноническое уравнение эллипса имеет вид …Множество всех дробно-рациональных функций образует поле
относительно обычных операций сложения и умножения таких функций.
Пусть
и
, причем
и 
Тогда числитель произведения
равен …
относительно обычных операций сложения и умножения таких функций.Пусть
и
, причем
и 
Тогда числитель произведения
равен …Мультипликативная группа рациональных чисел – это множество рациональных чисел …
равно …
при ограничениях
при ограничениях
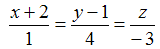
и плоскостью
равно …
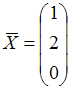
при линейном преобразовании, заданном матрицей
, является вектор …
, – это отображение, действующее из
в множество …