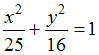
Фокусы эллипса имеют координаты
и
, а его эксцентриситет равен 0,6. Тогда каноническое уравнение эллипса имеет вид …
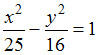
и
, а его эксцентриситет равен 0,6. Тогда каноническое уравнение эллипса имеет вид …• 

• 

• 

• 

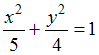
и
, а его эксцентриситет равен 0,6. Тогда каноническое уравнение эллипса имеет вид …


