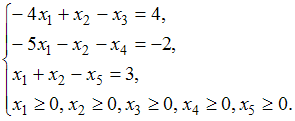
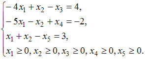
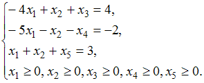
Дана задача линейного программирования: Изображение вопроса Дана задача линейного программирования: , при огра..., при ограничениях:
Изображение вопроса Дана задача линейного программирования: , при огра...
Тогда канонический вид данной задачи будет иметь вид …
• 
• 
• 
• 
Тема: Линейное программирование: аналитическое задание области допустимых решений
Предмет: Математика