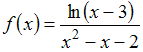
Точка Изображение вопроса Точка  является точкой разрыва функции …... является точкой разрыва функции …
• 
• 
• 
• 
Тема: Непрерывность функции, точки разрыва
Предмет: Математика