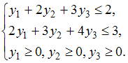
Дана задача линейного программирования:
, при ограничениях:

Тогда симметричная ей двойственная задача линейного программирования будет иметь вид …
, при ограничениях:
Тогда симметричная ей двойственная задача линейного программирования будет иметь вид …
•
,

,
•
,

,
•
,

,
•
,

,