Математика – страница 16
Студенческая группа состоит из
юношей и
девушек.
Тогда число способов избрания старосты в этой группе равно …
юношей и
девушек. Тогда число способов избрания старосты в этой группе равно …
Если количество элементов множества А равно n, количество элементов множества В равно m, тогда количество элементов в декартовом произведении
равно …
равно …
Матрица, обратная матрице
, найденная с помощью элементарных преобразований, имеет вид …
, найденная с помощью элементарных преобразований, имеет вид …
Высказывание: «Если студент не занимается, то он не сдаст экзамен», может быть записано логической формулой …
Отношение включения двух множеств
(быть подмножеством) обладает различными свойствами, в частности, свойством
"если
и
– множества, то соотношение
и
эквивалентно соотношению
" (кратко
).
Это свойство включения называется …
(быть подмножеством) обладает различными свойствами, в частности, свойством"если
и
– множества, то соотношение
и
эквивалентно соотношению
" (кратко
).Это свойство включения называется …
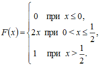
Непрерывная случайная величина
задана функцией распределения вероятностей:

Тогда ее плотность распределения вероятностей имеет вид …
задана функцией распределения вероятностей:
Тогда ее плотность распределения вероятностей имеет вид …
Число ориентированных графов, которые можно получить из одного простого графа с 4 ребрами, равно …
По выборке объема
найдена выборочная дисперсия
. Тогда исправленное среднее квадратическое отклонение равно …
найдена выборочная дисперсия
. Тогда исправленное среднее квадратическое отклонение равно …Вертикальная асимптота графика функции
задается уравнением вида …
задается уравнением вида …
, то матрица
равна ……
и
. Тогда
…
,
,
. Если выполняется равенство
, то
равно …
равен …
функции
имеет вид …