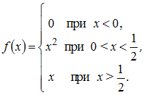
Непрерывная случайная величина
задана функцией распределения вероятностей:

Тогда ее плотность распределения вероятностей имеет вид …
задана функцией распределения вероятностей:
Тогда ее плотность распределения вероятностей имеет вид …
• 

•
Плотность распределения вероятностей
непрерывной случайной величины вычисляется по формуле:
.
•
Плотность распределения вероятностей
непрерывной случайной величины вычисляется по формуле:
.
•
Плотность распределения вероятностей
непрерывной случайной величины вычисляется по формуле:
.