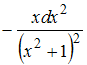
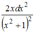
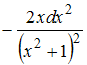
Дифференциал второго порядка функции Изображение вопроса Дифференциал второго порядка функции  равен …... равен …
• 
• 
• 
• 
Тема: Дифференциалы и теоремы о дифференцируемых функциях
Предмет: Математика