Если
, то матрица
равна ……
, то матрица
равна …… •
Выполняя вычисления, используйте правила:
1)
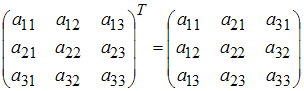
– для транспонирования;
2)
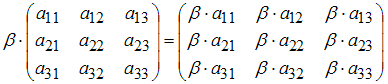
– для умножения матрицы на число.
•
Выполняя вычисления, используйте правила:
1)
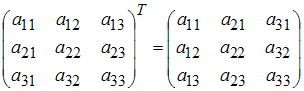
– для транспонирования;
2)
– для умножения матрицы на число.
•
Выполняя вычисления, используйте правила:
1)
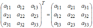
– для транспонирования;
2)
– для умножения матрицы на число.
• 
