Даны матрицы
и
. Тогда
…
и
. Тогда
… • равно 

• не существует, т.к. матрицы в данном порядке умножать нельзя
В процессе вычислений используйте правила:
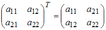
1) операция транспонирования:
;
2) произведением
матрицы
размера
на матрицу
размера
называется матрица
размера
, элемент которой
,
.
• равно
В процессе вычислений используйте правила:
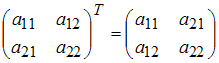
1) операция транспонирования:
;
2) произведением
матрицы
размера
на матрицу
размера
называется матрица
размера
, элемент которой
,
.
• равно
В процессе вычислений используйте правила:
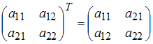
1) операция транспонирования:
;
2) произведением
матрицы
размера
на матрицу
размера
называется матрица
размера
, элемент которой
,
.