Математика – страница 111
Для исследования вопроса о сходимости числового ряда 
используется необходимый признак сходимости числового ряда
Тогда могут сходиться ряды …

используется необходимый признак сходимости числового ряда
Тогда могут сходиться ряды …Установите соответствие между общими членами некоторых числовых рядов
и
и их четвертыми членами.
1.
2.
и
и их четвертыми членами.
1.

2.

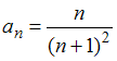
Для степенного ряда
радиус сходимости R равен …
радиус сходимости R равен …Для исследования числового ряда
на сходимость можно пользоваться признаком Даламбера
и признаком Коши 
Тогда сходящимися являются ряды …
на сходимость можно пользоваться признаком Даламбера
и признаком Коши 
Тогда сходящимися являются ряды …
Скорость движения тела задана уравнением
. Тогда путь, пройденный телом за 5 секунд от начала движения, равен …
. Тогда путь, пройденный телом за 5 секунд от начала движения, равен …9
…
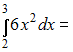
…Неопределенный интеграл
равен …
равен …11
…
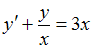
…Общим решением дифференциального уравнения
является …
является …Решением (общим интегралом) дифференциального уравнения с разделяющимися переменными
является …
является …Линейное дифференциальное уравнение можно решить с помощью подстановки
где функция
подбирается так, чтобы после подстановки получилось уравнение с разделяющимися переменными.
Общим решением уравнения
является …
где функция
подбирается так, чтобы после подстановки получилось уравнение с разделяющимися переменными.Общим решением уравнения
является …Общим решением дифференциального уравнения
является …
является …
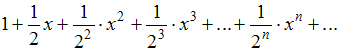
имеет вид
равняется …
. Частичная сумма
равна …