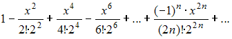
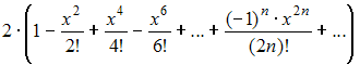
Известно, что ряд Маклорена для функции Изображение вопроса Известно, что ряд Маклорена для функции  имеет вид... имеет вид
Изображение вопроса Известно, что ряд Маклорена для функции  имеет вид...
Тогда Изображение вопроса Известно, что ряд Маклорена для функции  имеет вид... равняется …
• 
• 
• 
• 
Тема: Разложение в ряды Тейлора и Маклорена
Предмет: Математика