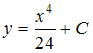
Общим решением дифференциального уравнения Изображение вопроса Общим решением дифференциального уравнения  являет... является …
• 
• 
• 
• 
Тема: Дифференциальные уравнения высших порядков, допускающие понижение порядка
Предмет: Математика