Линейное дифференциальное уравнение можно решить с помощью подстановки
где функция
подбирается так, чтобы после подстановки получилось уравнение с разделяющимися переменными.
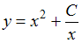
Общим решением уравнения
является …
где функция
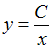
подбирается так, чтобы после подстановки получилось уравнение с разделяющимися переменными.Общим решением уравнения
является …• 

• 

• 

• 
