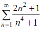
Для исследования вопроса о сходимости числового ряда 
используется необходимый признак сходимости числового ряда
Тогда могут сходиться ряды …

используется необходимый признак сходимости числового ряда
Тогда могут сходиться ряды …• 

• 

• 

• 


Тогда могут сходиться ряды …


