Математика – страница 101
Даны клеточные матрицы
и
. Размерность блоков
–
,
–
. Если произведение клеточных матриц
и
существует, то число строк в блоках
равно…
и
. Размерность блоков
–
,
–
. Если произведение клеточных матриц
и
существует, то число строк в блоках
равно…Если для системы уравнений

реализовать прямой ход метода Гаусса, то в итоге получится система уравнений …

реализовать прямой ход метода Гаусса, то в итоге получится система уравнений …
Неопределенный интеграл
имеет вид …
имеет вид …Предел
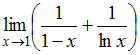
, вычисленный с помощью правила Лопиталя, равен …
, вычисленный с помощью правила Лопиталя, равен …
высотой 1 и шириной
, изображенного на рисунке,

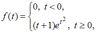
– изображение функции
, а
– изображение функции
, то изображение функции
имеет вид …
, найденный с помощью разложения изображения
в ряд Лорана, имеет вид …
– изображение функции
, то изображение функции
имеет вид …
при
в точке пересечения оси
с поверхностью
равен …



с начальным условием
имеет вид …
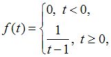
является изображением оригинала
, то оригиналом изображения
является выражение …
при
на
, то значение определённого интеграла
…