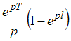
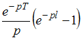
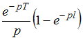
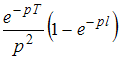
Изображение прямоугольного импульса Изображение вопроса Изображение прямоугольного импульса  высотой 1 и ш... высотой 1 и шириной Изображение вопроса Изображение прямоугольного импульса  высотой 1 и ш..., изображенного на рисунке,
Изображение вопроса Изображение прямоугольного импульса  высотой 1 и ш...Изображение вопроса Изображение прямоугольного импульса  высотой 1 и ш...
имеет вид …
• 
• 
• 
• 
Тема: Преобразование Лапласа и его свойства
Предмет: Математика