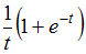
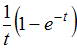
Оригинал Изображение вопроса Оригинал , найденный с помощью разложения изображе..., найденный с помощью разложения изображения Изображение вопроса Оригинал , найденный с помощью разложения изображе... в ряд Лорана, имеет вид …
• 
• 
• 
• 
Тема: Оригинал изображения
Предмет: Математика