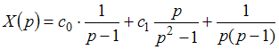
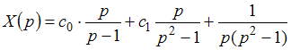
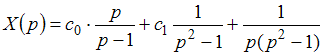
Операторное решение дифференциального уравнения Изображение вопроса Операторное решение дифференциального уравнения  с... с начальным условием Изображение вопроса Операторное решение дифференциального уравнения  с... имеет вид …
• 
• 
• 
• 
Тема: Операторный метод решения дифференциальных уравнений
Предмет: Математика