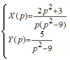
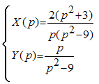
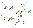
Операторное решение системы дифференциальных уравнений
Изображение вопроса Операторное решение системы дифференциальных уравн... при Изображение вопроса Операторное решение системы дифференциальных уравн... 
имеет вид …
• 
• 
• 
• 
Тема: Операторный метод решения систем дифференциальных уравнений
Предмет: Математика