Математика – страница 85
Матрица квадратичной формы
имеет вид ...
имеет вид ...Функция
представлена таблицей

Эта функция интерполируется полиномом Ньютона 3-ей степени
.
Тогда
равен …
представлена таблицей
Эта функция интерполируется полиномом Ньютона 3-ей степени
.Тогда
равен …На плоскости проведены
прямых линий так, что любые две из них не параллельны, а любые три не пересекаются в одной точке. Пусть
– число частей, на которые эти прямые разбивают плоскость (по определению полагают
). Тогда число
удовлетворяет уравнению …
прямых линий так, что любые две из них не параллельны, а любые три не пересекаются в одной точке. Пусть
– число частей, на которые эти прямые разбивают плоскость (по определению полагают
). Тогда число
удовлетворяет уравнению …Пусть
и
– конечные множества.
Комбинаторное правило умножения (правило произведения) можно использовать для нахождения числа элементов множества …
и
– конечные множества.Комбинаторное правило умножения (правило произведения) можно использовать для нахождения числа элементов множества …
Для доказательства свойства склеивания
была построена сокращённая таблица истинности, в которой значение "истина" обозначено буквой И, а значение "ложь" – буквой Л.

В этой таблице недостаёт двух строк.
Тогда утерянными строками являются …
была построена сокращённая таблица истинности, в которой значение "истина" обозначено буквой И, а значение "ложь" – буквой Л. 
В этой таблице недостаёт двух строк.
Тогда утерянными строками являются …
Общим решением рекуррентного уравнения
является последовательность …
является последовательность …С помощью преобразования параллельного переноса осей координат уравнение кривой
приводится к каноническому виду…
приводится к каноническому виду…Если используя свойства логических операций, упростите формулу (пропозициональную форму)
,
то упрощённая форма примет вид …
,то упрощённая форма примет вид …
точка
является …
уравнения кривой второго порядка
равны …
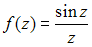
,
имеет вид …
– мера Лебега на числовой прямой R. Тогда интеграл Лебега
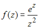
в ряд Лорана в окрестности точки
имеет вид …
представлена таблицей
равна …