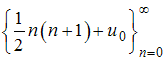
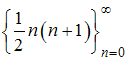
Общим решением рекуррентного уравнения Изображение вопроса Общим решением рекуррентного уравнения  является п... является последовательность …
• 
• , где  – произвольная постоянная
• 
• 
Тема: Рекуррентные уравнения и их решение
Предмет: Математика