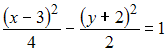
С помощью преобразования параллельного переноса осей координат уравнение кривой Изображение вопроса С помощью преобразования параллельного переноса ос... приводится к каноническому виду…
• 
• 
• 
• 
Тема: Общие уравнения кривых второго порядка
Предмет: Математика