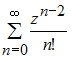
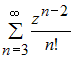
Главная часть разложения функции Изображение вопроса Главная часть разложения функции  в ряд Лорана в о... в ряд Лорана в окрестности точки Изображение вопроса Главная часть разложения функции  в ряд Лорана в о...  имеет вид …
• 
• 
• 
• 
Тема: Ряд Лорана и вычеты
Предмет: Математика