Математика – страница 84
Норма вектора
в евклидовом пространстве со стандартным скалярным произведением равна …
в евклидовом пространстве со стандартным скалярным произведением равна …Система линейных алгебраических уравнений

представляется в приведённой форме, которая и определяет начальное приближение
к решению.
Выполняется один шаг по методу итераций, т.е. находится первое приближение к решению.
Тогда первое приближение к решению равно …

представляется в приведённой форме, которая и определяет начальное приближение
к решению.Выполняется один шаг по методу итераций, т.е. находится первое приближение к решению.
Тогда первое приближение к решению равно …
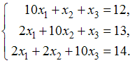
Дана система уравнений

Требуется систему уравнений преобразовать в приведённую систему, взять начальное приближение
,
,
и выполнить два шага (т.е. найти второе приближение к решению) метода Зейделя.
Тогда компоненты
и
второго приближения к решению соответственно равны …

Требуется систему уравнений преобразовать в приведённую систему, взять начальное приближение
,
,
и выполнить два шага (т.е. найти второе приближение к решению) метода Зейделя.Тогда компоненты
и
второго приближения к решению соответственно равны …В магазине игрушек имеется
различных плюшевых медведей,
различных мячей,
различных кукол. Тогда число способов, которыми можно купить одну игрушку для подарка, равно …
различных плюшевых медведей,
различных мячей,
различных кукол. Тогда число способов, которыми можно купить одну игрушку для подарка, равно …Решением рекуррентного уравнения
,
,
удовлетворяющим начальным условиям
,
,
служит последовательность …
,
, удовлетворяющим начальным условиям
,
,служит последовательность …
Дана пропозициональная форма (ПФ)
,
при записи которой использовались альтернативные варианты обозначений:
и
.
Тогда применяя свойства логических операций, ПФ можно привести к равносильному, но более компактному виду …
,при записи которой использовались альтернативные варианты обозначений:
и
.Тогда применяя свойства логических операций, ПФ можно привести к равносильному, но более компактному виду …
Функция
представлена таблицей

Для вычисления значения функции
в точке
используется интерполяционный полином Ньютона
(интерполяция вперёд).
Тогда
равно …
представлена таблицей
Для вычисления значения функции
в точке
используется интерполяционный полином Ньютона
(интерполяция вперёд).Тогда
равно …Общее решение дифференциального уравнения
имеет вид …
имеет вид …Для простой функции
, заданной на множестве
с мерой
своими значениями
, где
, существует интеграл Лебега по множеству
, если ряд …
, заданной на множестве
с мерой
своими значениями
, где
, существует интеграл Лебега по множеству
, если ряд …Квадратичную форму от переменных
над полем
можно определить как ___________ с коэффициентами из поля
.
над полем
можно определить как ___________ с коэффициентами из поля
.
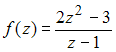
и
равен…
равен …
имеет вид …
в точке
равен …
уравнение кривой
приводится к каноническому виду …