Решение задачи Коши
Изображение вопроса Решение задачи Коши 
  
 в виде ряда по степеням  ...
в виде ряда по степеням Изображение вопроса Решение задачи Коши 
  
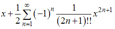
 в виде ряда по степеням  ... имеет вид …
• ,
• ,
• ,
• ,
Тема: Решение дифференциальных уравнений с помощью рядов
Предмет: Математика