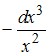
Дифференциал третьего порядка функции Изображение вопроса Дифференциал третьего порядка функции  равен ̷... равен …
• 
• 
• 
• 
Тема: Дифференциалы и теоремы о дифференцируемых функциях
Предмет: Математика