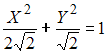
Поворотом осей координат на Изображение вопроса Поворотом осей координат на  уравнение кривой  при... уравнение кривой Изображение вопроса Поворотом осей координат на  уравнение кривой  при... приводится к каноническому виду …
• 
• 
• 
• 
Тема: Общие уравнения кривых второго порядка
Предмет: Математика