Математика – страница 82
Ранг матрицы
, вычисленный методом элементарных преобразований, равен…
, вычисленный методом элементарных преобразований, равен…Производящая функция для сочетаний из
-х элементов, в которых каждый элемент встречается не менее одного раза, имеет вид …
-х элементов, в которых каждый элемент встречается не менее одного раза, имеет вид …Отображение
, где
– множество действительных чисел, определяется соотношением
(или
, где
).
Тогда прообразом множества
при отображении
служит множество …
, где
– множество действительных чисел, определяется соотношением
(или
, где
).Тогда прообразом множества
при отображении
служит множество …Решение задачи Коши
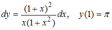
имеет вид…
имеет вид…Уравнение движения материальной точки имеет вид
, где
– время.
Тогда вектор ускорения в момент
равен …
, где
– время. Тогда вектор ускорения в момент
равен …Производная функции
равна …
равна …Уравнение касательной прямой к линии (годографу)
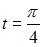
в точке, соответствующей значению параметра
, имеет вид …
в точке, соответствующей значению параметра
, имеет вид …Общий интеграл дифференциального уравнения 1-го порядка имеет вид:
. Тогда при начальном условии
частный интеграл этого уравнения имеет вид …
. Тогда при начальном условии
частный интеграл этого уравнения имеет вид …Определитель
равен …
равен …
, равен …
и
является множество …

и
, равна …