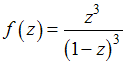
Производящая функция для сочетаний из
-х элементов, в которых каждый элемент встречается не менее одного раза, имеет вид …
-х элементов, в которых каждый элемент встречается не менее одного раза, имеет вид …• 

• 

• 

• 

-х элементов, в которых каждый элемент встречается не менее одного раза, имеет вид …


