Отображение
, где
– множество действительных чисел, определяется соотношением
(или
, где
).
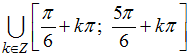
Тогда прообразом множества
при отображении
служит множество …
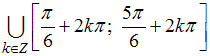
, где
– множество действительных чисел, определяется соотношением
(или
, где
).Тогда прообразом множества
при отображении
служит множество …• 

• 

• 

•
,
– множество целых чисел
,
– множество целых чисел