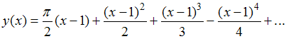
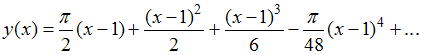
Первые четыре ненулевых члена разложения в степенной ряд решения задачи Коши
Изображение вопроса Первые четыре ненулевых члена разложения в степенн...
имеют вид …
• 
• 
• 
• 
Тема: Применение рядов для решения дифференциальных уравнений
Предмет: Математика