Математика – страница 77
На рисунке

приведено геометрическое изображение комплексного числа. Его тригонометрическая форма записи имеет вид …

приведено геометрическое изображение комплексного числа. Его тригонометрическая форма записи имеет вид …
Из областей на комплексной плоскости, заданных соотношениями
;
;
;
,
односвязной не является область …
;
;
;
,односвязной не является область …
Дано множество
с метрикой
, где
и
.
Тогда областью, соответствующей неравенству
, где
– начало координат, является …
с метрикой
, где
и
.Тогда областью, соответствующей неравенству
, где
– начало координат, является …Дана периодическая с периодом
функция, которая для
может быть записана в виде
.
Если
– значение суммы ряда Фурье для этой функции в точке
, то значение
равно …
функция, которая для
может быть записана в виде
. Если
– значение суммы ряда Фурье для этой функции в точке
, то значение
равно …Функция
, представленная как сумма гармоник, имеет вид …
, представленная как сумма гармоник, имеет вид …Таблица

представляет значения функции
в некоторых точках.
Используя формулы, основанные на интерполяционном полиноме Лагранжа, вычисляются, с тремя знаками после запятой, значения производной
заданной функции в точках
,
,
.
Тогда значения
в указанных точках соответственно равны …

представляет значения функции
в некоторых точках.Используя формулы, основанные на интерполяционном полиноме Лагранжа, вычисляются, с тремя знаками после запятой, значения производной
заданной функции в точках
,
,
.Тогда значения
в указанных точках соответственно равны …Величины
и
имеют предельные абсолютные погрешности
и
соответственно.
Тогда для предельных абсолютных погрешностей величин
и
справедливо утверждение:
и
имеют предельные абсолютные погрешности
и
соответственно.Тогда для предельных абсолютных погрешностей величин
и
справедливо утверждение:
отображение
называется сжимающим, если…
, то
равно…
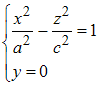
вокруг оси
, имеет вид …
и
равна…
,
, имеет вид…
и
– модуль и главное значение аргумента комплексного числа
, то величина
равна …
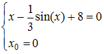
для уравнения
имеет вид…
и
равен…