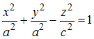
Уравнение поверхности, образованной вращением кривой  Изображение вопроса Уравнение поверхности, образованной вращением крив... вокруг оси Изображение вопроса Уравнение поверхности, образованной вращением крив..., имеет вид …
• 
• 
• 
• 
Тема: Поверхности второго порядка
Предмет: Математика