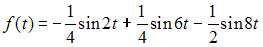
Функция Изображение вопроса Функция , представленная как сумма гармоник, имеет..., представленная как сумма гармоник, имеет вид …
• 
• 
• 
• 
Тема: Элементы гармонического анализа
Предмет: Математика